Упр.4.23 ГДЗ Мордкович 9 класс (Алгебра)
Решение #1
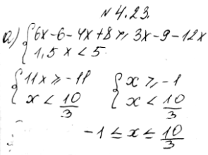
Решение #2
Рассмотрим вариант решения задания из учебника Мордкович 9 класс, Мнемозина:
4.23
Отправить другу:
*размещая тексты в комментариях ниже, вы автоматически соглашаетесь с пользовательским соглашением
