Упр.4.18 ГДЗ Мордкович 9 класс (Алгебра)
Решение #1
Решение #2

Рассмотрим вариант решения задания из учебника Мордкович 9 класс, Мнемозина:
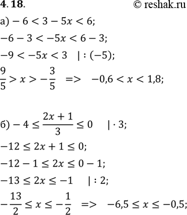
4.18. При каких значениях х:
а) значения двучлена 3 - 5х принадлежат интервалу (-6; 6);
б) значения дроби (2х +1)/3 принадлежат отрезку [-4; 0]?
*размещая тексты в комментариях ниже, вы автоматически соглашаетесь с пользовательским соглашением