Упр.7 Повторение ГДЗ Мордковича 10 класс профильный уровень (Алгебра)

Решение #1

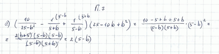
Изображение Упр.7 Повторение ГДЗ Мордковича 10 класс профильный уровень
Дополнительное изображение

Решение #2

Изображение Упр.7 Повторение ГДЗ Мордковича 10 класс профильный уровень

Совет дня!
Чтобы не спалиться на списывании, сайт решак.ру рекомендует максимально изменять тексты сочинений "под себя", изменять имена собственные, города, подбирать синонимы.
*Цитирирование задания со ссылкой на учебник производится исключительно в учебных целях для лучшего понимания разбора решения задания.
*размещая тексты в комментариях ниже, вы автоматически соглашаетесь с пользовательским соглашением