Упр.7.54 ГДЗ Мордкович 9 класс (Алгебра)
Решение #1
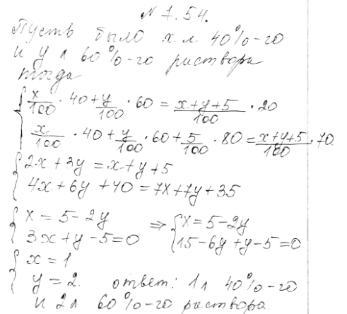
Решение #2

Рассмотрим вариант решения задания из учебника Мордкович 9 класс, Мнемозина:
7.54. Имеются два раствора соли в воде, первый — 40% -й, второй — 60%-й. Их смешали, добавили 5 л воды и получили 20%-й раствор. Если бы вместо 5 л воды добавили 5 л 80%-го раствора соли, то получился бы 70%-й раствор. Сколько было 40%-го и сколько 60%-го раствора?
*размещая тексты в комментариях ниже, вы автоматически соглашаетесь с пользовательским соглашением