Упр.2.16 ГДЗ Мордкович 9 класс (Алгебра)
Решение #1
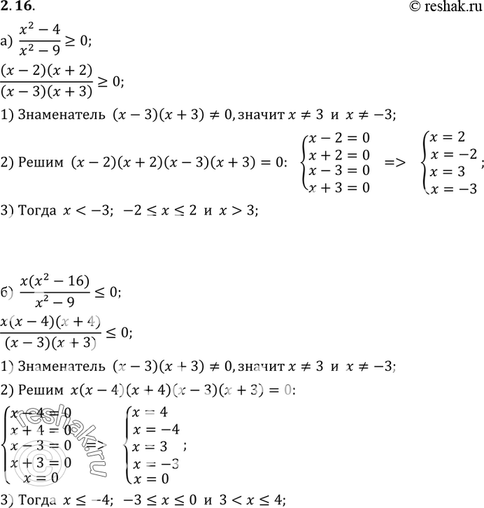
Решение #2

Рассмотрим вариант решения задания из учебника Мордкович 9 класс, Мнемозина:
2.16
*размещая тексты в комментариях ниже, вы автоматически соглашаетесь с пользовательским соглашением