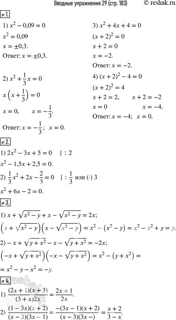
Вводные упражнения 29 ГДЗ Колягин Ткачёва 8 класс (Алгебра)
Решение #1

Рассмотрим вариант решения задания из учебника Колягин, Ткачёва, Фёдорова 8 класс, Просвещение:
1. Решить уравнение:
1) x^2-0,09=0; 2) x^2+1/3 x=0; 3) x^2+4x+4=0; 4) (x+2)^2-4=0.
2. Выполнить деление обеих частей уравнения на первый коэффициент:
1) 2x^2-3x+5=0; 2) 1/3 x^2+2x-2/3=0.
3. Найти сумму и произведение выражений:
1) x+v(x^2-y) и x-v(x^2-y); 2)-x+v(y+x^2 ) и -x-v(y+x^2 ).
4. Сократить дробь: 1) (2x+1)(x+3)/(3+x)2x; 2) (1-3x)(x+2)/(x-3)(3x-1) .
5. Найти произведение корней уравнения x^2-5x+6=0 и сравнить его со свободным членом уравнения.
6. Найти сумму корней уравнения x^2-5x+6=0 и сравнить ее со вторым коэффициентом уравнения.
*размещая тексты в комментариях ниже, вы автоматически соглашаетесь с пользовательским соглашением