Упр.894 ГДЗ Никольский Потапов 9 класс (Алгебра)

Решение #1

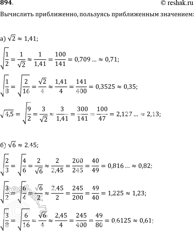
Изображение 894. Пользуясь приближённым значением: а) v2?1,41, вычислите приближённо v(1/2); v(1/8); v(4,5);б) v6?2,45, вычислите приближённо v(2/3); v(3/2);...

Рассмотрим вариант решения задания из учебника Никольский, Потапов 9 класс, Просвещение:
894. Пользуясь приближённым значением:
а) v2?1,41, вычислите приближённо v(1/2); v(1/8); v(4,5);
б) v6?2,45, вычислите приближённо v(2/3); v(3/2); v(3/8).
*Цитирирование задания со ссылкой на учебник производится исключительно в учебных целях для лучшего понимания разбора решения задания.
*размещая тексты в комментариях ниже, вы автоматически соглашаетесь с пользовательским соглашением