Упр.892 ГДЗ Никольский Потапов 9 класс (Алгебра)

Решение #1

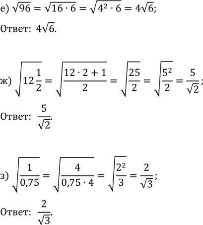
Изображение 892. Вынесите множитель из-под знака корня:а) v8;   б) v28;   в) v320;   г) v32;д) v175;   е) v96;   ж) v(12 1/2);   з)...
Дополнительное изображение

Рассмотрим вариант решения задания из учебника Никольский, Потапов 9 класс, Просвещение:
892. Вынесите множитель из-под знака корня:
а) v8; б) v28; в) v320; г) v32;
д) v175; е) v96; ж) v(12 1/2); з) v(1/0,75).
*Цитирирование задания со ссылкой на учебник производится исключительно в учебных целях для лучшего понимания разбора решения задания.
*размещая тексты в комментариях ниже, вы автоматически соглашаетесь с пользовательским соглашением