Упр.674 ГДЗ Никольский Потапов 9 класс (Алгебра)

Решение #1

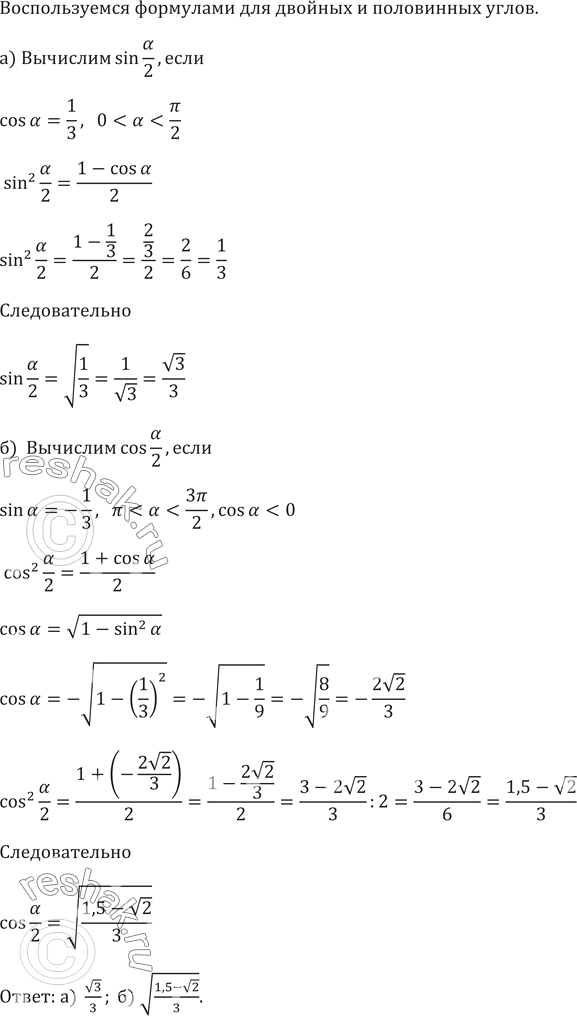
Изображение 674. а) Вычислите sinа/2, если cosa = 1/3, 0 < a < пи/2б) Вычислите cosа/2, если sin a =-1/3,	пи < a <...

Решение #2

Изображение 674. а) Вычислите sinа/2, если cosa = 1/3, 0 < a < пи/2б) Вычислите cosа/2, если sin a =-1/3,	пи < a <...

Рассмотрим вариант решения задания из учебника Никольский, Потапов 9 класс, Просвещение:
674. а) Вычислите sinа/2, если cosa = 1/3, 0 < a < пи/2
б) Вычислите cosа/2, если sin a =-1/3, пи < a < 3пи/2
*Цитирирование задания со ссылкой на учебник производится исключительно в учебных целях для лучшего понимания разбора решения задания.
*размещая тексты в комментариях ниже, вы автоматически соглашаетесь с пользовательским соглашением