Упр.624 ГДЗ Никольский Потапов 9 класс (Алгебра)

Решение #1

Изображение 624. Доказываем. Докажите формулу:a) cos(пи/2 +a) = -sin a; 6) sin (пи/2+a) = cos...

Решение #2

Изображение 624. Доказываем. Докажите формулу:a) cos(пи/2 +a) = -sin a; 6) sin (пи/2+a) = cos...

Рассмотрим вариант решения задания из учебника Никольский, Потапов 9 класс, Просвещение:
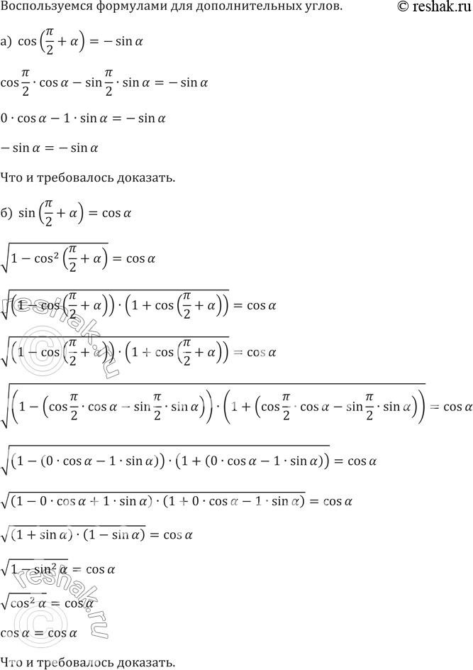
624. Доказываем. Докажите формулу:
a) cos(пи/2 +a) = -sin a; 6) sin (пи/2+a) = cos a.
*Цитирирование задания со ссылкой на учебник производится исключительно в учебных целях для лучшего понимания разбора решения задания.
*размещая тексты в комментариях ниже, вы автоматически соглашаетесь с пользовательским соглашением