Упр.622 ГДЗ Никольский Потапов 9 класс (Алгебра)

Решение #1

Изображение 622. а) Найдите cosa*cosb, если cos(a + b) = 0,2, cos(a - b) = 0,5.б) Найдите sin a*sin b, если cos (a + b) = —1/3, cos (a - b) =...

Решение #2

Изображение 622. а) Найдите cosa*cosb, если cos(a + b) = 0,2, cos(a - b) = 0,5.б) Найдите sin a*sin b, если cos (a + b) = —1/3, cos (a - b) =...

Рассмотрим вариант решения задания из учебника Никольский, Потапов 9 класс, Просвещение:
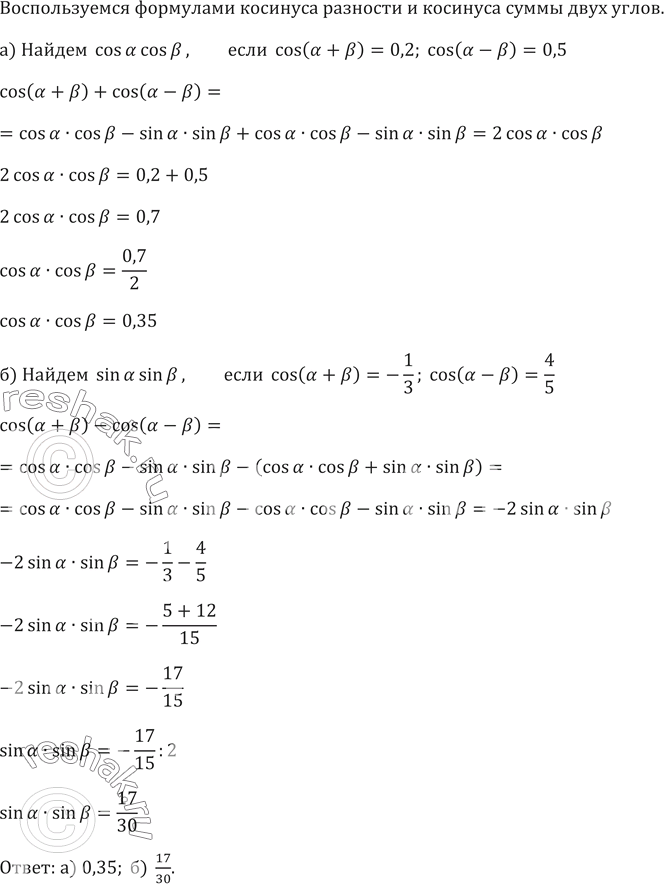
622. а) Найдите cosa*cosb, если cos(a + b) = 0,2, cos(a - b) = 0,5.
б) Найдите sin a*sin b, если cos (a + b) = —1/3, cos (a - b) = 4/5.
*Цитирирование задания со ссылкой на учебник производится исключительно в учебных целях для лучшего понимания разбора решения задания.
*размещая тексты в комментариях ниже, вы автоматически соглашаетесь с пользовательским соглашением