Упр.617 ГДЗ Никольский Потапов 9 класс (Алгебра)

Решение #1

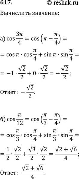
Изображение Вычислите (617—618):617.а)  cos3пи/4б)  cosпи/12в)  cos7пи/12г) ...
Дополнительное изображение

Решение #2

Изображение Вычислите (617—618):617.а)  cos3пи/4б)  cosпи/12в)  cos7пи/12г) ...

Рассмотрим вариант решения задания из учебника Никольский, Потапов 9 класс, Просвещение:
Вычислите (617—618):
617.
а) cos3пи/4
б) cosпи/12
в) cos7пи/12
г) cos11пи/12
*Цитирирование задания со ссылкой на учебник производится исключительно в учебных целях для лучшего понимания разбора решения задания.
*размещая тексты в комментариях ниже, вы автоматически соглашаетесь с пользовательским соглашением