Упр.533 ГДЗ Мерзляк Полонский 6 класс (Математика)
Решение #1

Рассмотрим вариант решения задания из учебника Мерзляк, Полонский, Якир 6 класс, Вентана-Граф:
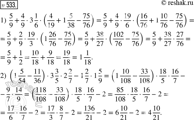
533. Найдите значение выражения:
1) 5/9 + 4/9*3*1/6*(4/19 + 1*5/38 - 75/76);
2) (1*5/54 - 11/36)* 3*3/5 * 2*2/7 - 1*2/7*1*5/9.
*размещая тексты в комментариях ниже, вы автоматически соглашаетесь с пользовательским соглашением