Упр.5 ГДЗ Никольский Потапов 9 класс (Алгебра)

Решение #1

Изображение 5. Какое число больше:а) а или а + 3;	б) b + 1 или b + 2; в) а - 5 или а + 2;	г) b - 7 или b-6?Здесь а и Ь — любые данные числа.а)...

Решение #2

Изображение 5. Какое число больше:а) а или а + 3;	б) b + 1 или b + 2; в) а - 5 или а + 2;	г) b - 7 или b-6?Здесь а и Ь — любые данные числа.а)...

Рассмотрим вариант решения задания из учебника Никольский, Потапов 9 класс, Просвещение:
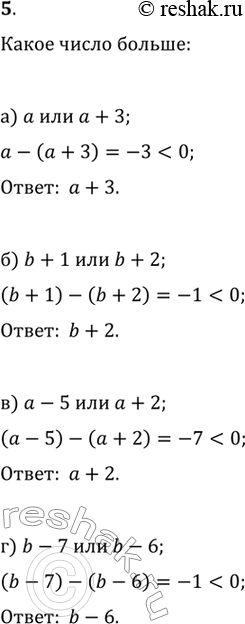
5. Какое число больше:

а) а или а + 3; б) b + 1 или b + 2; в) а - 5 или а + 2; г) b - 7 или b-6?

Здесь а и Ь — любые данные числа.

а) a < a+3
б) b+1
в) a-5 < a+2
г) b-7
*Цитирирование задания со ссылкой на учебник производится исключительно в учебных целях для лучшего понимания разбора решения задания.
*размещая тексты в комментариях ниже, вы автоматически соглашаетесь с пользовательским соглашением