Упр.474 ГДЗ Никольский Потапов 9 класс (Алгебра)

Решение #1

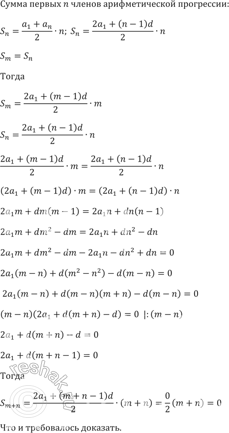
Изображение 474. В арифметической прогрессии сумма первых m членов равна сумме первых n членов (m не равно n). Докажите, что сумма первых (m+n) членов равна...

Решение #2

Изображение 474. В арифметической прогрессии сумма первых m членов равна сумме первых n членов (m не равно n). Докажите, что сумма первых (m+n) членов равна...

Рассмотрим вариант решения задания из учебника Никольский, Потапов 9 класс, Просвещение:
474. В арифметической прогрессии сумма первых m членов равна сумме первых n членов (m не равно n). Докажите, что сумма первых (m+n) членов равна нулю.
*Цитирирование задания со ссылкой на учебник производится исключительно в учебных целях для лучшего понимания разбора решения задания.
*размещая тексты в комментариях ниже, вы автоматически соглашаетесь с пользовательским соглашением