Упр.448 ГДЗ Никольский Потапов 9 класс (Алгебра)

Решение #1

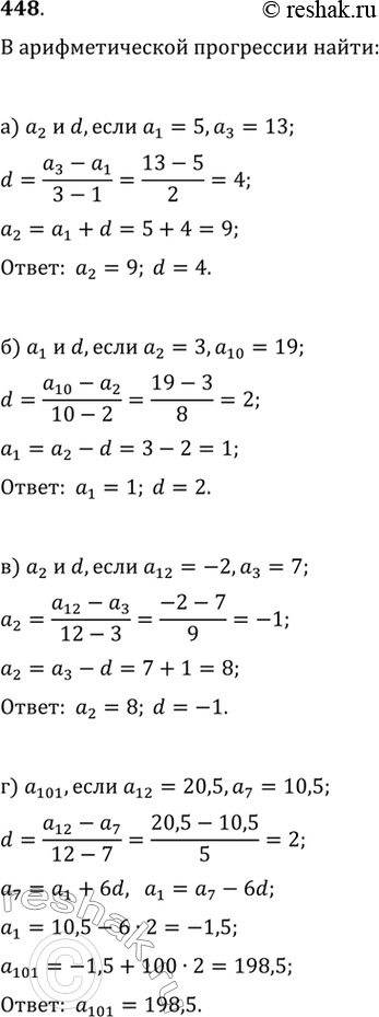
Изображение В арифметической прогрессии (аn) найдите (448—450):448. а) a1=5;a3=13б) a2=3;a10=19в) a12=-2;a3=7г)...

Решение #2

Изображение В арифметической прогрессии (аn) найдите (448—450):448. а) a1=5;a3=13б) a2=3;a10=19в) a12=-2;a3=7г)...
Дополнительное изображение

Рассмотрим вариант решения задания из учебника Никольский, Потапов 9 класс, Просвещение:
В арифметической прогрессии (аn) найдите (448—450):
448.
а) a1=5;a3=13
б) a2=3;a10=19
в) a12=-2;a3=7
г) a12=20,5;a7=10,5
*Цитирирование задания со ссылкой на учебник производится исключительно в учебных целях для лучшего понимания разбора решения задания.
*размещая тексты в комментариях ниже, вы автоматически соглашаетесь с пользовательским соглашением