Упр.439 ГДЗ Мерзляк Полонский 6 класс (Математика)
Решение #1

Рассмотрим вариант решения задания из учебника Мерзляк, Полонский, Якир 6 класс, Вентана-Граф:
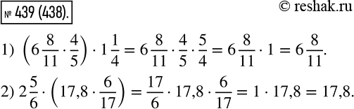
439 Вычислите наиболее удобным способом:
1) (6*8/11* 4/5)*1*1/4 ;
2) 2*5/6*(17,8* 6/17).
*размещая тексты в комментариях ниже, вы автоматически соглашаетесь с пользовательским соглашением