Упр.357 ГДЗ Колягин Ткачёва 11 класс (Алгебра)
Решение #1
Решение #2

Рассмотрим вариант решения задания из учебника Колягин, Ткачёва, Фёдорова 11 класс, Просвещение:
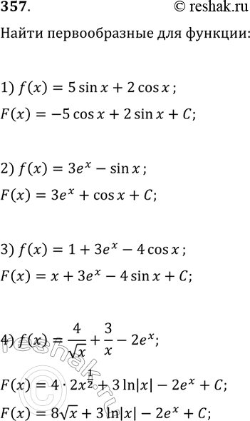
357. 1) 5sinx + 2cosx;
2) 3ex - sinx;
3) 1+3ex - 4cosx;
4) 4/ корень x + 3/x - 2ex.
*размещая тексты в комментариях ниже, вы автоматически соглашаетесь с пользовательским соглашением