Упр.31 ГДЗ Колягин Ткачёва 11 класс (Алгебра)
Решение #1
Решение #2

Рассмотрим вариант решения задания из учебника Колягин, Ткачёва, Фёдорова 11 класс, Просвещение:
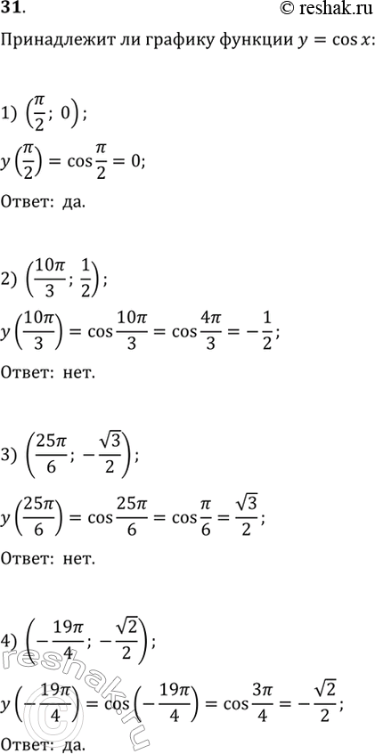
31. Выяснить, принадлежит ли графику функции у = cosx точка с координатами:
1) (пи/2; 0);
2) (10пи/3; 1/2);
3) (25пи/6;- корень 3/2);
4) (-19пи/4; - корень 2/2).
*размещая тексты в комментариях ниже, вы автоматически соглашаетесь с пользовательским соглашением