Упр.307 ГДЗ Колягин Ткачёва 8 класс (Алгебра)
Решение #1

Рассмотрим вариант решения задания из учебника Колягин, Ткачёва, Фёдорова 8 класс, Просвещение:
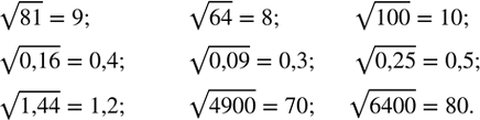
307. Вычислить арифметический квадратный корень из числа:
81; 64; 100; 0,16; 0,09; 0,25; 1,44; 4900; 6400.
*размещая тексты в комментариях ниже, вы автоматически соглашаетесь с пользовательским соглашением