Упр.296 ГДЗ Никольский Потапов 9 класс (Алгебра)

Решение #1

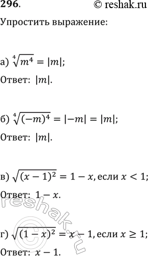
Изображение 296. Упростите выражение:а) корень четвертой степени из m^4 б) корень четвертой степени из (-m)^4в) корень из (x-1)^2, если...

Решение #2

Изображение 296. Упростите выражение:а) корень четвертой степени из m^4 б) корень четвертой степени из (-m)^4в) корень из (x-1)^2, если...

Рассмотрим вариант решения задания из учебника Никольский, Потапов 9 класс, Просвещение:
296. Упростите выражение:
а) корень четвертой степени из m^4
б) корень четвертой степени из (-m)^4
в) корень из (x-1)^2, если x<1
г) корень из (1-x)^2, если x>=1
*Цитирирование задания со ссылкой на учебник производится исключительно в учебных целях для лучшего понимания разбора решения задания.
*размещая тексты в комментариях ниже, вы автоматически соглашаетесь с пользовательским соглашением