Упр.25 ГДЗ Никольский Потапов 9 класс (Алгебра)

Решение #1

Изображение 25.а) 0,3x-200  в) 1,35-27x>0 г) 0,15-150x0...
Дополнительное изображение

Решение #2

Изображение 25.а) 0,3x-200  в) 1,35-27x>0 г) 0,15-150x0...
Дополнительное изображение

Рассмотрим вариант решения задания из учебника Никольский, Потапов 9 класс, Просвещение:
25.
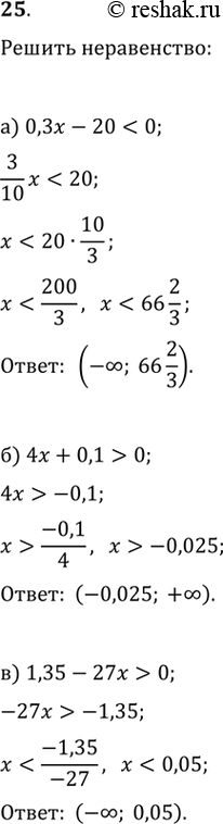
а) 0,3x-20<0
б) 4x+0,1>0
в) 1,35-27x>0
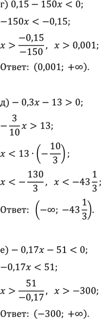
г) 0,15-150x<0
д)-0,3x-13>0
е)-0,17x-51<0
*Цитирирование задания со ссылкой на учебник производится исключительно в учебных целях для лучшего понимания разбора решения задания.
*размещая тексты в комментариях ниже, вы автоматически соглашаетесь с пользовательским соглашением