Упр.242 ГДЗ Никольский Потапов 9 класс (Алгебра)

Решение #1

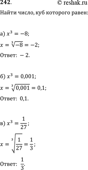
Изображение Упр.242 ГДЗ Никольский Потапов 9 класс

Решение #2

Изображение Упр.242 ГДЗ Никольский Потапов 9 класс

Рассмотрим вариант решения задания из учебника Никольский, Потапов 9 класс, Просвещение:
242. Найдите число, куб которого равен: а) -8; б) 0,001; в) 1/27.
*Цитирирование задания со ссылкой на учебник производится исключительно в учебных целях для лучшего понимания разбора решения задания.
*размещая тексты в комментариях ниже, вы автоматически соглашаетесь с пользовательским соглашением