Упр.204 ГДЗ Никольский Потапов 9 класс (Алгебра)

Решение #1

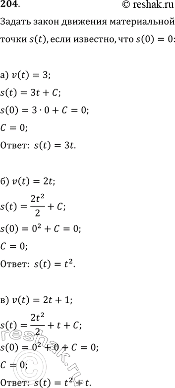
Изображение 204. Скорость материальной точки определяется формулой:а) v(t) = 3;	б) v(t) = 2t;	в) v(t) = 2t + 1.Задайте формулой закон движения материальной точки s(t), если...

Решение #2

Изображение 204. Скорость материальной точки определяется формулой:а) v(t) = 3;	б) v(t) = 2t;	в) v(t) = 2t + 1.Задайте формулой закон движения материальной точки s(t), если...

Рассмотрим вариант решения задания из учебника Никольский, Потапов 9 класс, Просвещение:
204. Скорость материальной точки определяется формулой:

а) v(t) = 3; б) v(t) = 2t; в) v(t) = 2t + 1.

Задайте формулой закон движения материальной точки s(t), если известно, что s (0) = 0.
*Цитирирование задания со ссылкой на учебник производится исключительно в учебных целях для лучшего понимания разбора решения задания.
*размещая тексты в комментариях ниже, вы автоматически соглашаетесь с пользовательским соглашением