Упр.2 ГДЗ Колягин Ткачёва 8 класс (Алгебра)
Решение #1

Рассмотрим вариант решения задания из учебника Колягин, Ткачёва, Фёдорова 8 класс, Просвещение:
2. Вычислить устно:
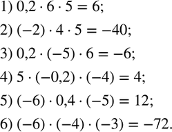
1) 0,2•6•5;
2) (-2)•4•5;
3) 0,2•(-5)•6;
4) 5•(-0,2)•(-4);
5) (-6)•0,4•(-5);
6) (-6)•(-4)•(-3).
*размещая тексты в комментариях ниже, вы автоматически соглашаетесь с пользовательским соглашением