Упр.18 ГДЗ Никольский Потапов 9 класс (Алгебра)

Решение #1

Изображение 18.а) 2x>0...

Решение #2

Изображение 18.а) 2x>0...

Рассмотрим вариант решения задания из учебника Никольский, Потапов 9 класс, Просвещение:
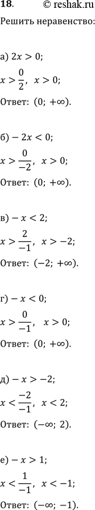
18.
а) 2x>0
б)-2x<0
в)-x<2
г)-x<0
д)-x>-2
е)-x>1
*Цитирирование задания со ссылкой на учебник производится исключительно в учебных целях для лучшего понимания разбора решения задания.
*размещая тексты в комментариях ниже, вы автоматически соглашаетесь с пользовательским соглашением