Упр.171 ГДЗ Никольский Потапов 9 класс (Алгебра)

Решение #1

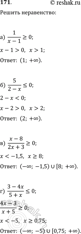
Изображение 171.а) 1/(x-1)>=0б) 5/(2-x)=0 г)...

Решение #2

Изображение 171.а) 1/(x-1)>=0б) 5/(2-x)=0 г)...

Рассмотрим вариант решения задания из учебника Никольский, Потапов 9 класс, Просвещение:
171.
а) 1/(x-1)>=0

б) 5/(2-x)<=0

в) (x-8)/(2x+3)>=0

г) (3-4x)/(5+x)<=0
*Цитирирование задания со ссылкой на учебник производится исключительно в учебных целях для лучшего понимания разбора решения задания.
*размещая тексты в комментариях ниже, вы автоматически соглашаетесь с пользовательским соглашением