Упр.101 ГДЗ Колягин Ткачёва 8 класс (Алгебра)
Решение #1

Рассмотрим вариант решения задания из учебника Колягин, Ткачёва, Фёдорова 8 класс, Просвещение:
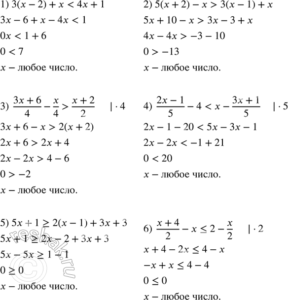
101. Решить неравенство:
1) 3(x-2)+x<4x+1;
2) 5(x+2)-x>3(x-1)+x;
3) (3x+6)/4-x/4>(x+2)/2;
4) (2x-1)/5-4
5) 5x+1?2(x-1)+3x+3;
6) (x+4)/2-x?2-x/2.
*размещая тексты в комментариях ниже, вы автоматически соглашаетесь с пользовательским соглашением