Упр.100 ГДЗ Никольский Потапов 9 класс (Алгебра)

Решение #1

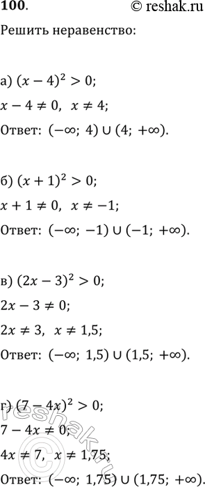
Изображение Решите неравенство (100—101)100. а) (x-4)^2>0     б) (x+1)^2>0   в) (2x-3)^2>0    г) (7-4x)^2>0 ...

Решение #2

Изображение Решите неравенство (100—101)100. а) (x-4)^2>0     б) (x+1)^2>0   в) (2x-3)^2>0    г) (7-4x)^2>0 ...

Рассмотрим вариант решения задания из учебника Никольский, Потапов 9 класс, Просвещение:
Решите неравенство (100—101)
100.
а) (x-4)^2>0
б) (x+1)^2>0
в) (2x-3)^2>0
г) (7-4x)^2>0
*Цитирирование задания со ссылкой на учебник производится исключительно в учебных целях для лучшего понимания разбора решения задания.
*размещая тексты в комментариях ниже, вы автоматически соглашаетесь с пользовательским соглашением